| MAT 131 Problem Sets | MAT 131 Syllabus | MAT 131 Homepage |
Exams
Notes
- You must show up on time for all exams. Within the first 30 minutes of each exam, no students will be allowed to leave the exam room. No students arriving after the first 30 minutes will be allowed to take the exam. Students finishing within the last 10 minutes of the exam must remain until the exam is over and then follow the instructions for turning in their exam (for instance, students are often asked to turn in exams row-by-row).
- All exams are closed notes and closed book. Once the exam has begun, having notes or books on the desk or in view will be considered cheating. For the midterms in which word problems are included, only for those students for whom English is a second language, translation dictionaries will be allowed, but only for the purpose of translating word problems. Before beginning to use such a dictionary, the student must raise his or her hand and notify a proctor of the situation.
- If you have a university-approved reason for taking an exam at a time different than the scheduled exam (because of a religious observance, a student-athlete event, etc.), please contact your instructor and Jason Starr as soon as possible.
Identification
For all exams, you must bring your Stony Brook ID. The IDs will be checked against picture sheets. So please also insure you take the midterm in the correct room.Electronic device policy
It is not permitted to use cell phones, calculators, laptops, or other such electronic devices at any time during exams. If you need to leave the exam room for any reason before the end of the exam, it is still not permitted to use such devices. Only for those exams in which word problems are included and only for those students for whom English is a second language, electronic translators will be allowed but only for the purpose of translating word problems. Before beginning to use such a device, the student must raise his or her hand and notify a proctor of the situation.Diagnostic quiz
Tuesday, September 14th, 8:30-10pm- Javits 100: Recitations R04, R06, R07, R08, R09, R11
- Javits 102: Recitations R01, R03, R05
- Javits 110: Recitations R12, R13
All students who completed the Diagnostic Quiz receive full credit of 2% towards the total class points.
There were two typos on the solutions of the exam. On Problem 7 and Problem 9, the correct answer was not listed among the possible answers. The solutions to all problems on the exam are here.
All students who receive a score of less than 5 on the quiz should schedule an appointment with their instructor right away to discuss whether MAT 131 is the appropriate calculus course.
MIDTERM 1
Thursday, October 7th, 8:30-10pm- Javits 100: Recitations R05, R06, R07, R08, R09, R11, R12, R13
- Earth and Space Sciences 001: Recitations R01, R03, R04
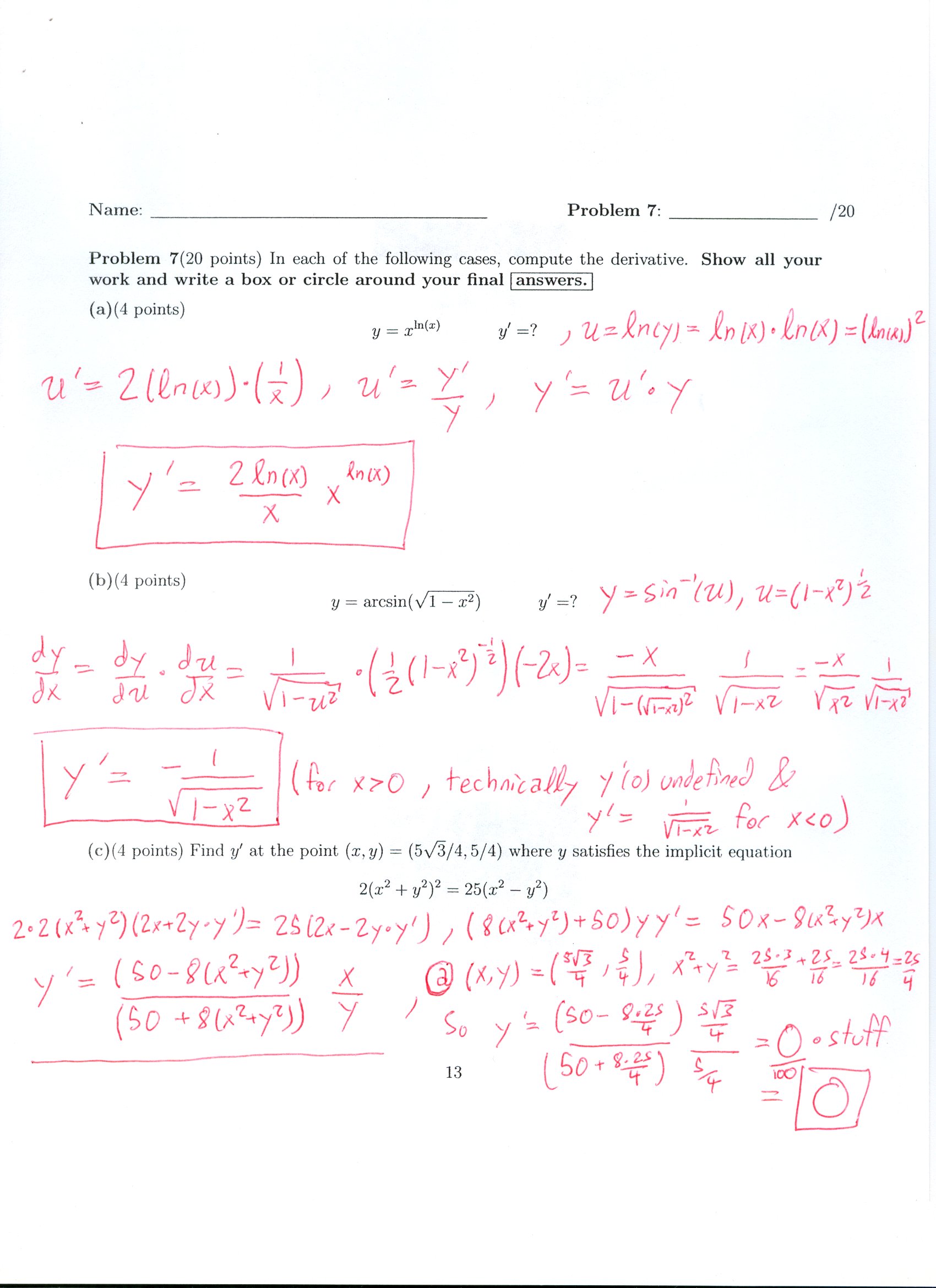
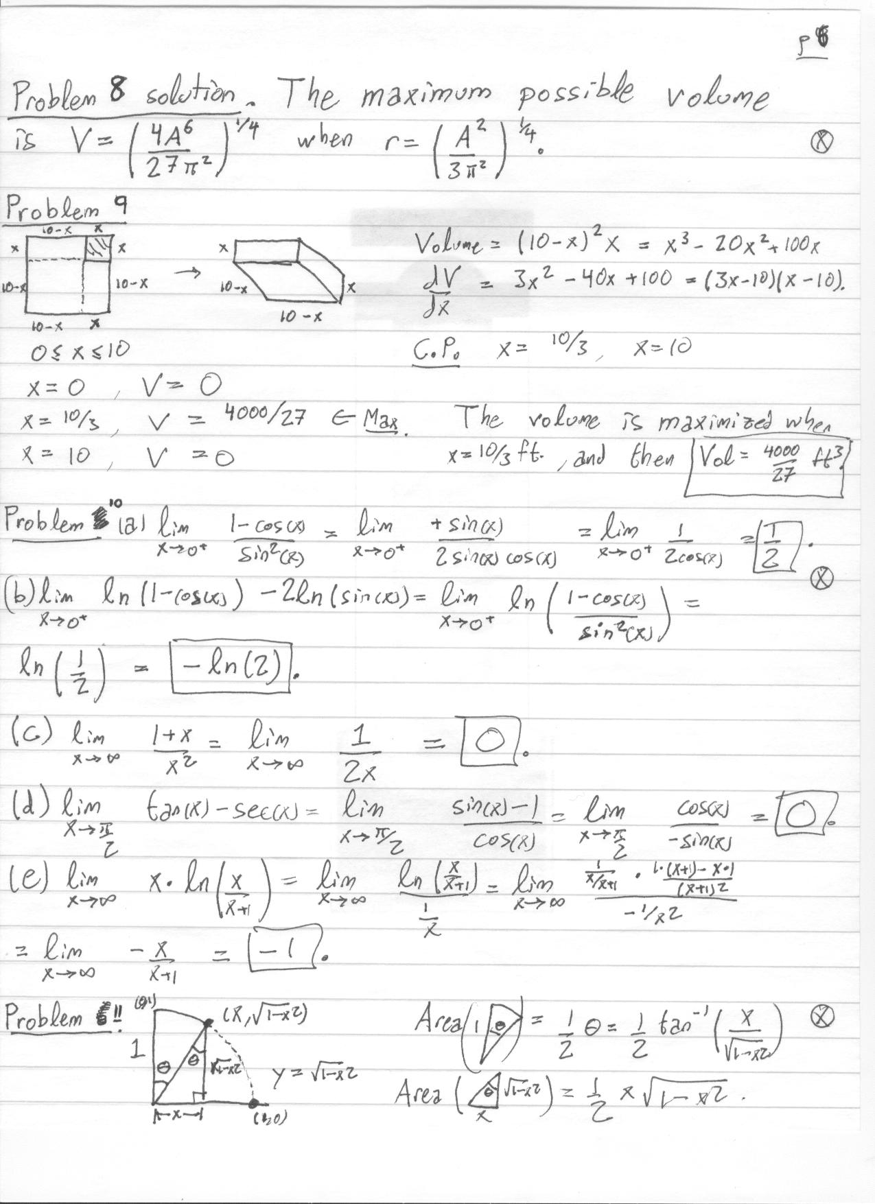
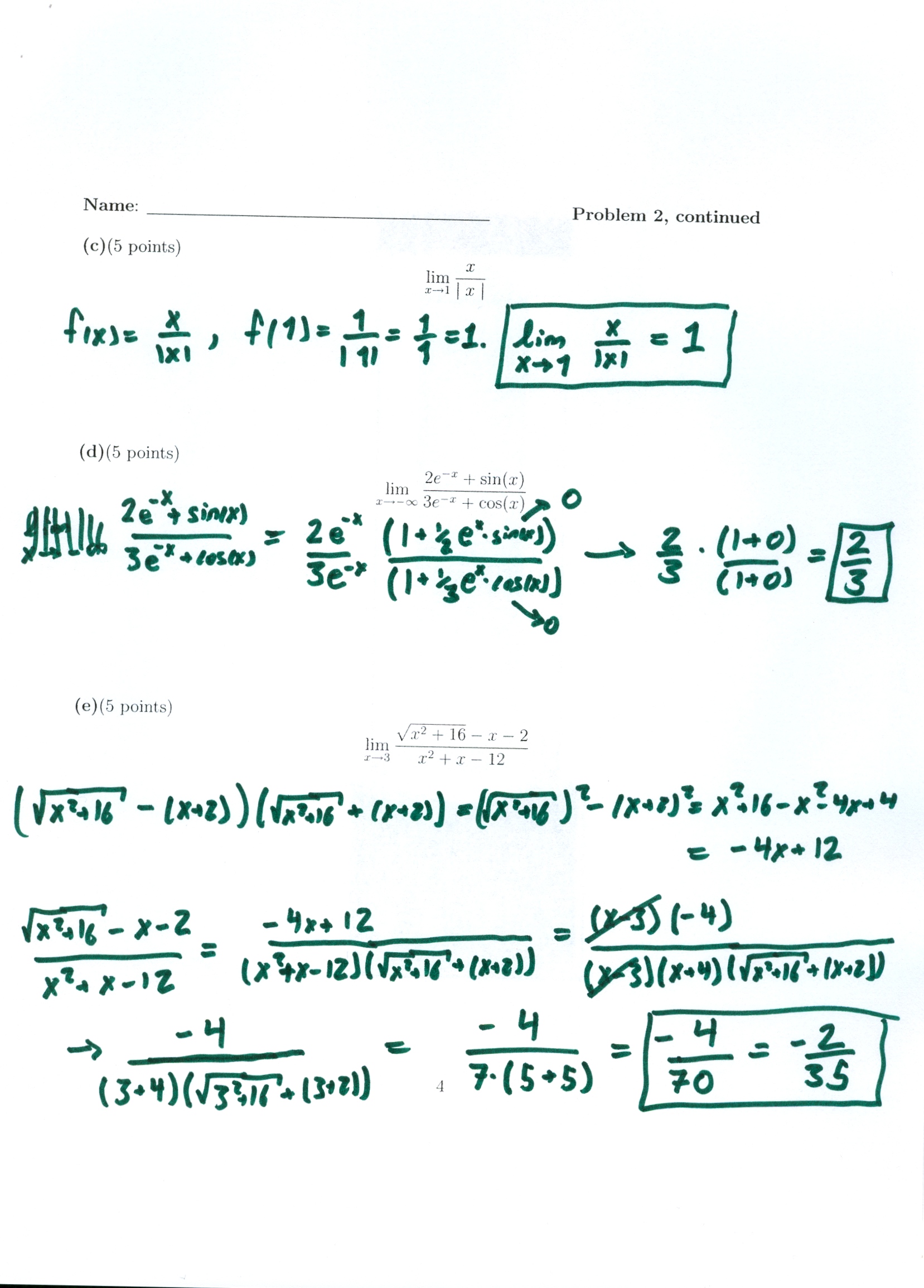
The solutions to all problems on the exam are here.
For the purposes of gauging your performance in the course at this point in the semester, here is a rough letter grade ranking of scores on Midterm 1. A: 100-81, B: 80-61, C:60-46, C-: 45-41, D: 40-31, Fail: less than 31.
It is a good idea to prepare for the exams throughout the semester,
and not just before the exam.
Here is a review sheet for Midterm 1, prepared for the Fall 2008 semester
(pdf, dvi, ps).
The "Archimedes triangle" Java
applet mentioned in the review sheet is available on the following webpage.
Here are the solutions to the review sheet, except for the
solutions of the graphing problems.
(pdf, dvi, ps).
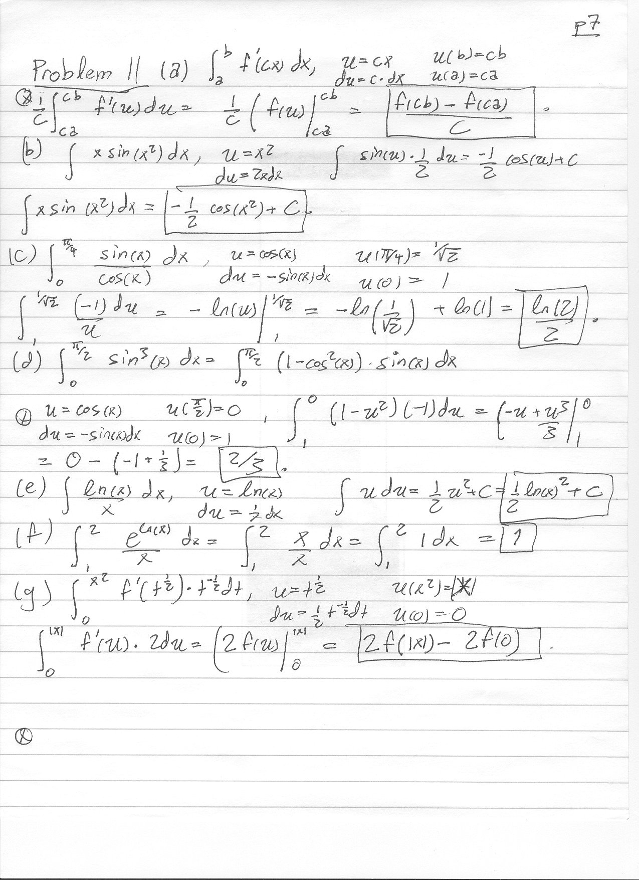
Here is Midterm 1 from Fall 2008 in JPEG format,
(Page 1,
Page 2,
Page 3,
Page 4,
Page 5,
Page 6,
Page 7,
Page 8).
Here is Midterm 1 from Fall 2007 in JPEG format,
(Page 1,
Page 2,
Page 3,
Page 4,
Page 5,
Page 6,
Page 7,
Page 8,
Page 9,
Page 10).
You can find the course materials for several previous semester's at
http://www.math.sunysb.edu/html/calculus.shtml
MIDTERM 2
Thursday, Nov 4th from 8:30-10pm- Javits 100: Recitations R01, R03, R04, R06, R07, R08, R09.
- Javits 102: Recitations R05, R11, R12, R13.
The solutions to all problems on the exam are here.
For the purposes of gauging your performance in the course at this point in the semester, here is a rough letter grade ranking of scores on Midterm 1. A: 100-76, B: 75-61, C:60-41, C-: 40-36, D: 35-30, Fail: less than 30.
It is a good idea to prepare for the exams throughout the semester,
and not just before the exam.
Here is a review sheet for Midterm 2 prepared for the Fall 2007 semester
(pdf, dvi, ps).
Here are the solutions to the problems on that review sheet
(pdf, dvi, ps).
Midterm 2 this semester will NOT cover advanced graphing problems. Advanced graphing problems WILL be on the final exam. Midterm 2 this semester WILL cover related rates.
Here is a review sheet for Midterm 2 prepared for the Fall 2008 semester (pdf, dvi, ps).
Here are images of the rough sketches in Problem 1 of the review sheet (JPEG, PostScript).
Here are the solutions to all the other problems on the review sheet (pdf, dvi, ps).
Here is Midterm 2 from Fall 2008 in JPEG format,
(
Page 1,
Page 2,
Page 3,
Page 4,
Page 5,
Page 6,
Page 7,
Page 8,
Page 9).
Here is Midterm 2 from Fall 2007 in JPEG format,
(Page 1,
Page 2,
Page 3,
Page 4,
Page 5,
Page 6,
Page 7,
Page 8,
Page 9,
Page 10,
Page 11).
You can find the course materials for several previous semester's at
http://www.math.sunysb.edu/html/calculus.shtml
Final exam
Monday, Dec 13th from 8:30-11pm- Earth and Space Sciences 001: Recitations 01, 03, 04
- Stony Brook Union 123 (auditorium): Recitations 05, 06, 07, 08, 09
- Old Chemistry 116: Recitations 11, 12, 13
It is a good idea to prepare for the exams throughout the semester,
and not just before the exam.
Here is a review sheet for the final exam prepared for the Fall 2007
semester
(pdf,
dvi,
ps).
Here are scanned solutions to the problems on that review sheet
(Page 1,
Page 2,
Page 3,
Page 4,
Page 5,
Page 6,
Page 7).
Here is a review sheet for the final exam prepared for the Fall 2008
semester
(pdf,
dvi,
ps).
Here are scanned solutions to the problems on that review sheet
(Page 1,
Page 2,
Page 3,
Page 4,
Page 5,
Page 6,
Page 7,
Page 8,
Page 9)
Here is the Final Exam from Fall 2008
in PDF format.
And here are scanned solution to
the Final Exam from
Fall 2008 in PDF format.
Here is the Final Exam from Fall 2007
in PDF format.
And here are scanned solutions to the Final Exam from Fall 2007 in JPEG
format,
(
Page 1,
Page 2,
Page 3,
Page 4,
Page 5,
Page 6,
Page 7,
Page 8,
Page 9,
Page 10,
Page 11,
Page 12,
Page 13,
Page 14.)
You can find the course materials for several previous semester's at
http://www.math.sunysb.edu/html/calculus.shtml
AS THE FINAL EXAM IS CUMULATIVE, STUDENTS ARE ALSO URGED TO REVIEW THE MIDTERMS AND REVIEW SHEETS FROM EARLIER IN THE SEMESTER.
Students asked for additional applied max/min problems beyond those on the review sheets, the practice exams, and the textbook. There are additional problems on the Max/Min webpage of Calculus.org webpage. I also found some more related rates problems on John Taylor's calculus webpage (linked from the Calculus.org webpage).
Jason Starr
4-108 Math Tower
Department of Mathematics
Stony Brook University
Stony Brook, NY 11794-3651
Phone: 631-632-8270
Fax: 631-632-7631
Jason Starr