MAT 534 — Fall 2009 Homepage MAT 534 — Fall 2009 Syllabus MAT 534 — Fall 2009 Problem Sets

MAT 534 Exams
Algebra I

Fall 2009

  • Attendance/Missing Exams
  • Notes
  • Identification
  • Electronic Device Policy
  • Diagnostic Quiz
  • Midterms
  • Final Exam

  • I assume all students enrolled in a graduate course such as this are aware of academic policies regarding exams. The following is "boilerplate" for exam policies. Further academic policies are available from the university webpage.

    Attendance/Missing Exams You must show up on time for all exams. Within the first 30 minutes of each exam, no students will be allowed to leave the exam room. No students arriving after the first 30 minutes will be allowed to take the exam. Students finishing within the last 10 minutes of the exam must remain until the exam is over and then follow the instructions for turning in their exams (for instance, students are often asked to turn in exams row-by-row).

    If you have a university-approved reason for taking an exam at a time different than the scheduled exam (because of a religious observance, a student-athlete event, etc.), please contact your instructor and Jason Starr as soon as possible. Similarly, if you have a documented medical emergency which prevents you from showing up for an exam, again contact your instructor and Jason Starr as soon as possible.

    For excused absences from a midterm, the usual policy is to drop the missed exam and compute the exam total using the other exams. In exceptional circumstances, a make-up exam may be scheduled for the missed exam. For an excused absence from the final exam, the correct letter grade can only be assigned after the student has completed a make-up final exam.

    Notes All exams are closed notes and closed book. Once the exam has begun, having notes or books on the desk or in view will be considered cheating and will be referred to the Academic Judiciary.

    Identification For all exams, you must bring your Stony Brook ID. These IDs may be checked against the class picture sheet.

    Electronic Device Policy It is not permitted to use cell phones, calculators, laptops, MP3 players, Blackberries or other such electronic devices at any time during exams. If you use a hearing aid or other such device, you should make your instructor aware of this before the exam begins. You must turn off your cell phone, etc., prior to the beginning of the exam. If you need to leave the exam room for any reason before the end of the exam, it is still not permitted to use such devices. Once the exam has begun, use of such devices or having such devices in view will be considered cheating and will be referred to the Academic Judiciary. Similarly, once the exam has begun any communication with a person other than the instructor or proctor will be considered cheating and will be referred to the Academic Judiciary.


    Diagnostic Quiz There will be a diagnostic quiz on Thursday, Sept. 24th. Participation in the quiz is mandatory. The main purpose of this quiz is diagnostic; to catch developing situations before they become serious problems. This is mostly an issue for non-Ph.D. students enrolled in the course. The grading will be as follows: all participating students will receive 0.5% extra credit for the total score of the class. And excellent scores on the quiz will receive an additional 0.5% extra credit for a total of 1% extra credit for the total score of the class.

    Midterms There will be 2 midterms held during the usual lecture time and held in the usual lecture room.


    Final exam According to the university's final exam worksheet, our final exam will be Thursday, December 17th from 11:15 am to 1:45 pm.
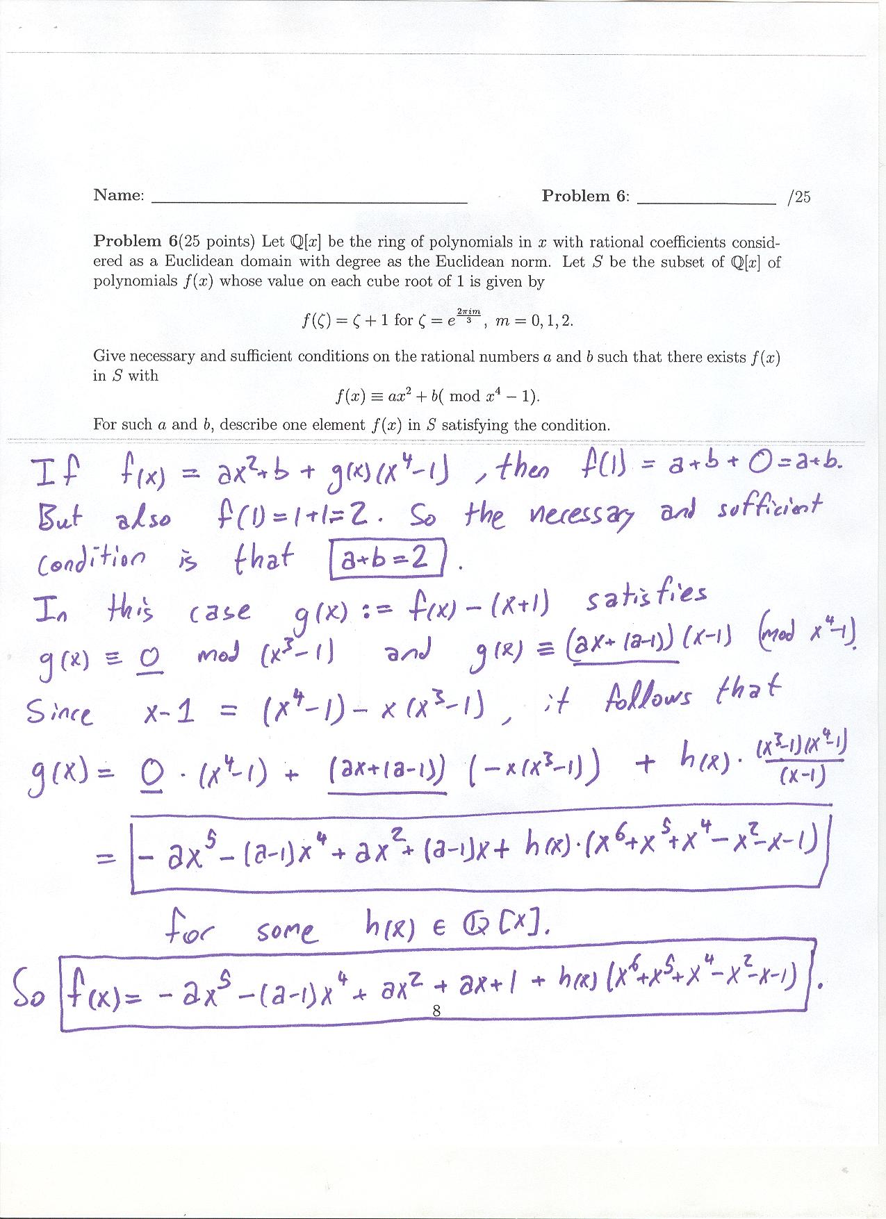
    Here are scans of solutions: ( Problem 1, Problem 2, Problem 3, Problem 4, Problem 5, Problem 6, Problem 7, Problem 8).


    Back to my home page.


    Jason Starr
    4-108 Math Tower
    Department of Mathematics
    Stony Brook University
    Stony Brook, NY 11794-3651
    Phone: 631-632-8270
    Fax: 631-632-7631
    Jason Starr