MAT307: Solutions to HW5

Section 4.2AB:


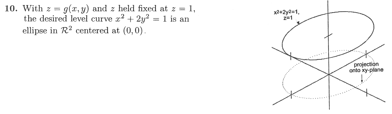
5.






Section 4.2C:


8.


Section 4.2D:






Section 4.3:






29.





Section 4.4: