7. 

x intercepts : -1 and 1
y intercept 0
8. a) ln(3)+2.ln y - 2 ln(x-6)
b) 2 -loga(b) - loga(c) - 4loga(d)
9. The function should pass through (1,6) and (0,2). Therefore, for a and C we have
2=C.a0
6=C.a1
Then C=2 and a=3
10) a) X=4
b) x should verify : ex=3 or ex=-2. Since the second equation does not have solution, the only solution is x=ln(3)
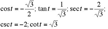
11.

12. The solution is in the book, pag A28