MAT 310: Linear Algebra

Spring 2016

Department of Mathematics
SUNY at Stony Brook

Course Description: This course will focus on mathematical proofs as well as on computations. Some of the topics we will cover are: matrics and operations on matrices; determinants of matrices; vector spaces and subspaces; linear transformations and linear operators and their kernels and images; bases for vector spaces and the dimension of a vector space; eigenvalues, eigenvectors, and the diagonalization of linear operators; the Cayley-Hamilton Theorem; inner product spaces; selfadjoint operators, normal operators, and orthogonal operators; the Spectral Theorem.

Textbook: Linear Algebra, 4th edition, by Stephen Friedberg, Arnold Insel and Lawrence Spence, Prentic Hall, 2003.

Prerequisite: In order to take this course, you must have passed MAT 211 (Introduction to Linear Algebra) or 305 (Calculus IV) or 308 (Differential Equations with Linear Algebra) or AMS 210 (Applied Linear Algebra); you must have passed MAT 200 (Logic, Language, and Proof) or have permission of the instructor.

Instructor: Marcus Khuri, Math Tower 3-122, Office Hours: TuTh 12-1:30pm, Email: khuri@math.sunysb.edu

Recitation Instructor: Frederik Benirschke, Math Tower S-240A (MLC), Office Hours: M 1-2:30pm (MLC), T 10-10:30am (MLC), and T 10:30-11:30am, Email: frederik.benirschke@stonybrook.edu

Class schedule: TuTh 2:30-3:50pm, Hvy Engr Lab 201

Recitation schedule: 1) M 9:00-9:53am, Earth & Space 181; 2) Tu 8:30-9:23am, Library W4530

Homework: Homework is a fundamental part of this course, and you will have to work hard on the assigned problems in order to succeed. Assignments will be posted on the course website at the beginning of each week, and will be due on Wednesday of the following week at 3pm. A box or envelop will be placed outside the office of your recitation instructor, where you may turn in your homework. Late homework will not be accepted. Homework will account for 25% of the total grade.

Homework 1 (Due 2/3) - §1.2: 13, 17, 21; §1.3: 12, 22, 25; §1.4: 2a, 2b, 5a, 5b, 10; Problems.

Homework 2 (Due 2/10) - §1.5: 2c, 2e, 5, 7, 17; §1.6: 7, 9, 14, 22; Problems.

Homework 3 (Due 2/17) - §2.1: 3, 5, 11, 15, 17; §2.2: 2a, 2d, 5b, 10; Solutions page 1, page 2, page 3, page 4.

Homework 4 (Due 2/24) - §2.3: 3a, 9, 16a, 17; §2.4: 2a, 2c, 3, 6, 9, 16, 17; Solutions.

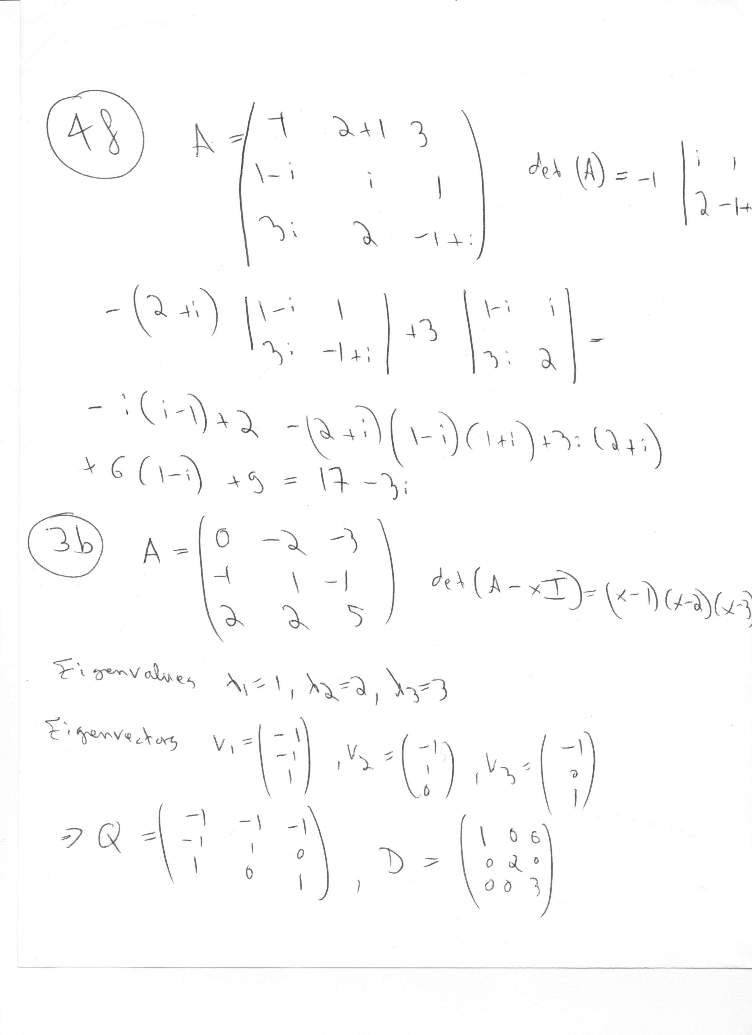
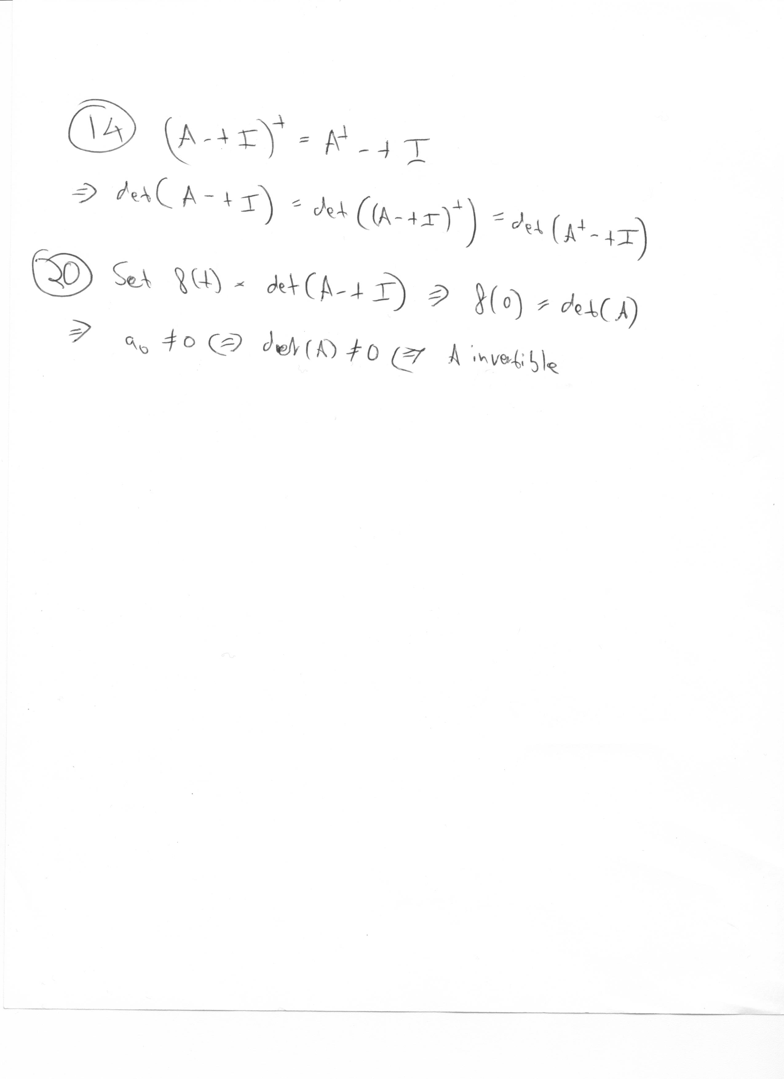
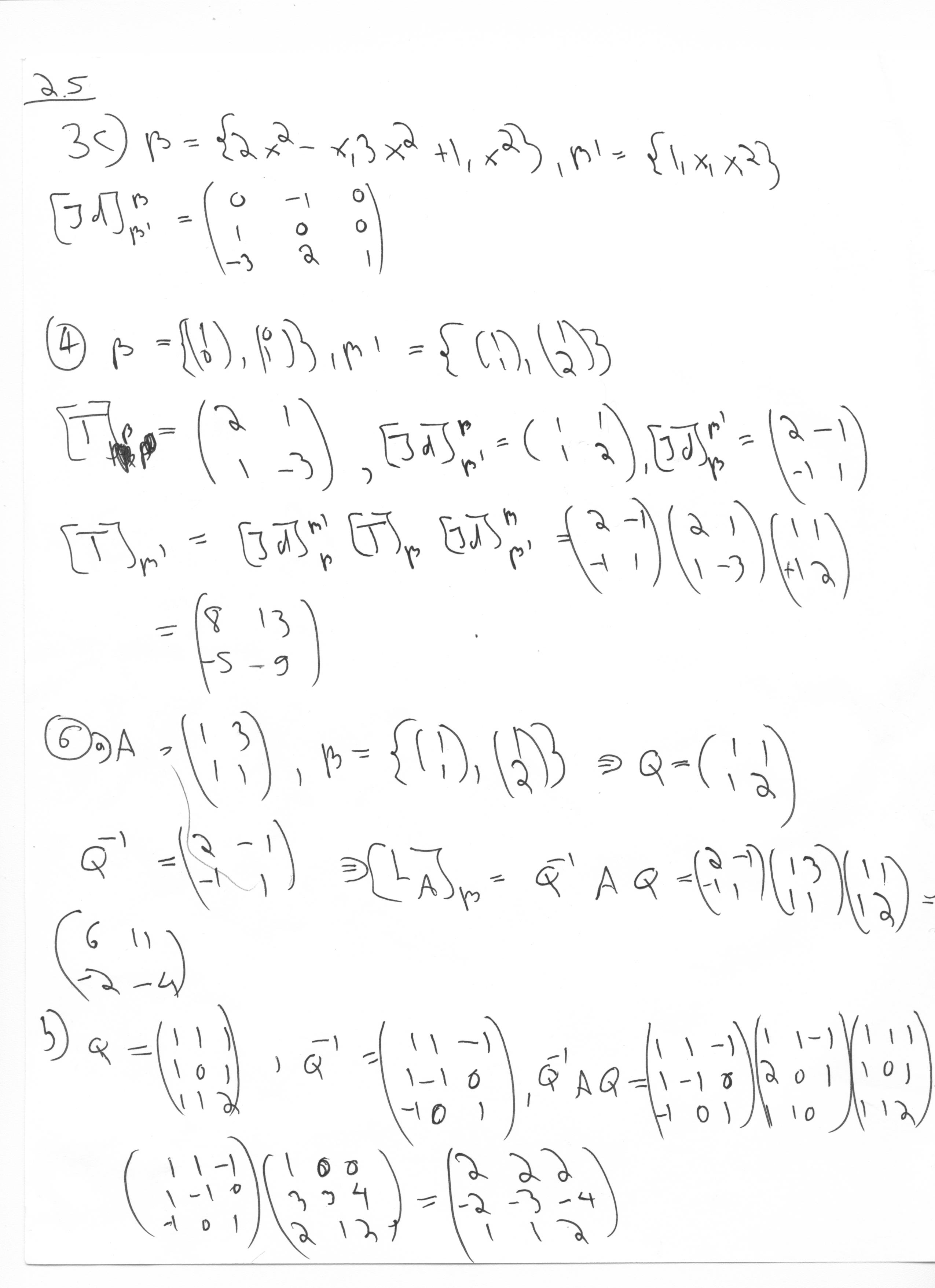
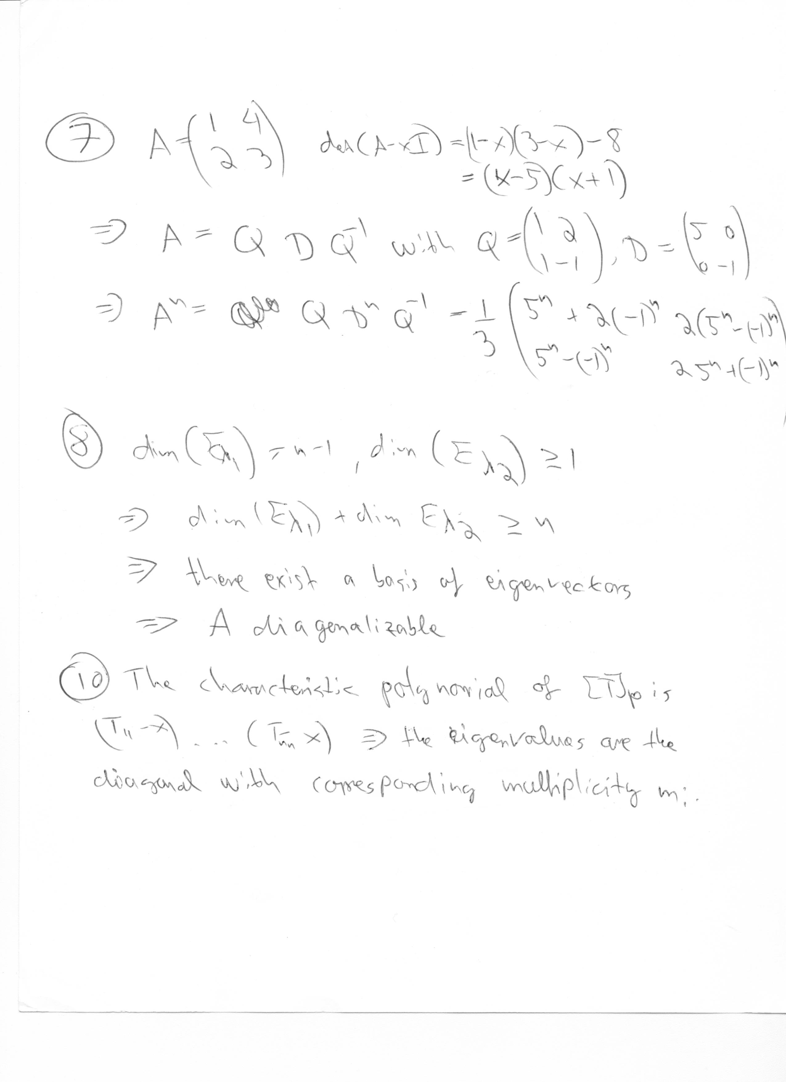
Homework 5 (Due 3/2) - §2.5: 3c, 4, 6a, 6c, 11; §2.7: 3a, 3c, 7, 8, 10; Solutions page 1, page 2, page 3, page 4.

Homework 6 (Due 3/9) - §2.7: 13, 14, 15, 16; §3.2: 2b, 5d, 5e, 17, 21; Solutions page 1, page 2, page 3, page 4, page 5, page 6, page 7.

Midterm I (3/10, in class) - Covers all material in sections 1.1-3.2 except sections 1.7 and 2.6. The exam, and its solutions.

Homework 7 (Due 3/30) - §3.3: 4, 8, 10; §3.4: 2a, 2b, 2c, 3, 4, 7; Solutions page 1, page 2, page 3.

Homework 8 (Due 4/6) - §4.1: 4a, 10; §4.2: 3, 15, 16, 17, 23, 25, 28; Solutions page 1, page 2, page 3.

Homework 9 (Due 4/13) - §4.3: 5, 12, 14, 21; §4.4: 4f; §5.1: 3bc, 8ab, 9, 14, 20; Solutions page 1, page 2, page 3, page 4, page 5.

Homework 10 (Due 4/20) - §5.2: 2b, 2c, 2f, 7, 8, 10, 12, 14a; §5.4: 23, 24, 25a; Solutions page 1, page 2, page 3, page 4, page 5.

Homework 11 (Due 4/27) - §7.1: 2b, 2d; §7.2: 4b, 4c; Problems; Solutions page 1, page 2.

Midterm II (4/28, in class) - Covers all material in sections 3.3, 3.4, 4.1-4.4, 5.1, 5.2, 5.4, 7.1, 7.2. Concerning sections 7.1 and 7.2, you will at most be asked to compute the Jordan form of a matrix and perhaps use it in an application. The exam, and its solutions.

Homework 12 (Due 5/11) - §6.1: 10, 11, 17; §6.2: 2a, 6, 13c; §6.3: 12;

Exams: There will be two in-class midterms as well as a final, each respectively accounting for 20%, 20%, and 35% of the total grade. The final exam will take place on Monday, May 16, 11:15am-1:45pm, and the two in-class midterms will occur on Thursday, March 10 and April 28.

Help: The Math Learning Center (MLC) is located in Math Tower S-240A, and offers free help to any student requesting it. It also provides a locale for students wishing to form study groups. The MLC is open 10am-7pm Monday through Wednesday, 10am-6pm Thursday and 10am-2pm on Friday. A list of graduate students available for hire as private tutors is maintained by the Undergraduate Mathematics Office, Math Tower P-143.


 
Disability Support Services (DSS)
If you have a physical, psychological, medical or learning disability that may impact your course work, please contact Disability Support Services, ECC (Educational Communications Center) Building, room 128, (631) 632-6748. They will determine with you what accommodations, if any, are necessary and appropriate. All information and documentation is confidential. Students who require assistance during emergency evacuation are encouraged to discuss their needs with their professors and Disability Support Services. For procedures and information go to the following website: http://www.stonybrook.edu/ehs/fire/disabilities

 
Academic Integrity
Representing another person's work as your own is always wrong. Faculty are required to report any suspected instances of academic dishonesty to the Academic Judiciary. Faculty in the Health Sciences Center (School of Health Technology & Management, Nursing, Social Welfare, Dental Medicine) and School of Medicine are required to follow their school-specific procedures. For more comprehensive information on academic integrity, including categories of academic dishonesty, please refer to the academic judiciary website at http://www.stonybrook.edu/commcms/academic_integrity/index.html

 
Critical Incident Management
Stony Brook University expects students to respect the rights, privileges, and property of other people. Faculty are required to report to the Office of Judicial Affairs any disruptive behavior that interrupts their ability to teach, compromises the safety of the learning environment, or inhibits students' ability to learn. Faculty in the HSC Schools and the School of Medicine are required to follow their school-specific procedures.