MAT 125, Calculus A

Spring 2005

Send the course coordinator (C. Bishop) email at: bishop@math.sunysb.edu

Email individual instructors: Kumpel , Suvaina. Roberts. Nam. Chance. Holmes. vanCoevering. Liu. Thind. Shu. Branson. Chen. Cabrera-Ocanas.

Email all instructors (lecturers, TAs, graders)

Email all lecturers (Bishop, Kumpel, Suvaina, Reiris)

Email Lecture 1 TAs

Email Lecture 2 TAs

Email Lecture 3 TAs

Syllabus: dvi file , postscript file , pdf file

Lecture schedule and Homework assignments: dvi file , postscript file , pdf file

FIRST MIDTERM IS MONDAY, Febuary 21, 8:30-10:00 PM ----- NO CALCULATORS, BOOKS OR NOTES ARE ALLOWED ON THE EXAM

Room assignments for 1st midterm: sections 1-5,9,12,14,15 in Javits 100, sections 6,7,13 in Javits 102, sections 8,10,11 in Javits 110 and section ELC 4 in Javits 101.

Sample first midterm (these will be availale about a week before the exams) : postscript file , pdf file

ADVISORY GRADES FOR FIRST MIDTERM: A 40-50, B 34-39, C 30-33, D 25-29, F < 25.

SECOND MIDTERM IS Tuesday, March 29 , 8:30-10:00 PM Room assignments for 2nd midterm: Sections 1,7-9,11,13-15 in Javits 100; Sections 5 and ELC 4 in Javits 102; Section 10 in Physics P-113, sections 6,12 in Heavy Engineering 201; section 2 in Harriman Hall 112; section 4 in Harriman Hall 116; section 3 in Old Chemistry 144.

Amy Roberts and Mark Branson are are giving a review session in Harriman 116 on Monday, 3/28 from 6:50-8:50 PM.

Sample second midterm : postscript file , pdf file

Several students requested I post solutions to the sample exam. Here are jpeg files of a sample exam where I hand wrote in answers and scanned the pages. Solutions are not guarenteed correct. page 1 , page 2 ,

Advsiory grades for 2nd midterm: A 41-50, B 36-40, C 29-35, D 24-28, F < 24

THE FINAL IS 11:00-1:30, Monday, May 16, 11am-1:30pm, Sections 1-9,11-15 are in the Gym and sections 10 and ELC4 are in the Dance Studio. Both rooms are in the Sports Complex.

Review sessions for MAT 125 final:

Branson and Roberts: Friday 5/13 from 6-8 PM and Sunday 5/15 from 6-8 PM, Both will be held in Lt. Engineering 102 - anyone is welcome.

M. Chance: Tuesday May 10th from 11-1 in P-131. Anyone is welcome to come.

Sample final (now available) : postscript file , pdf file

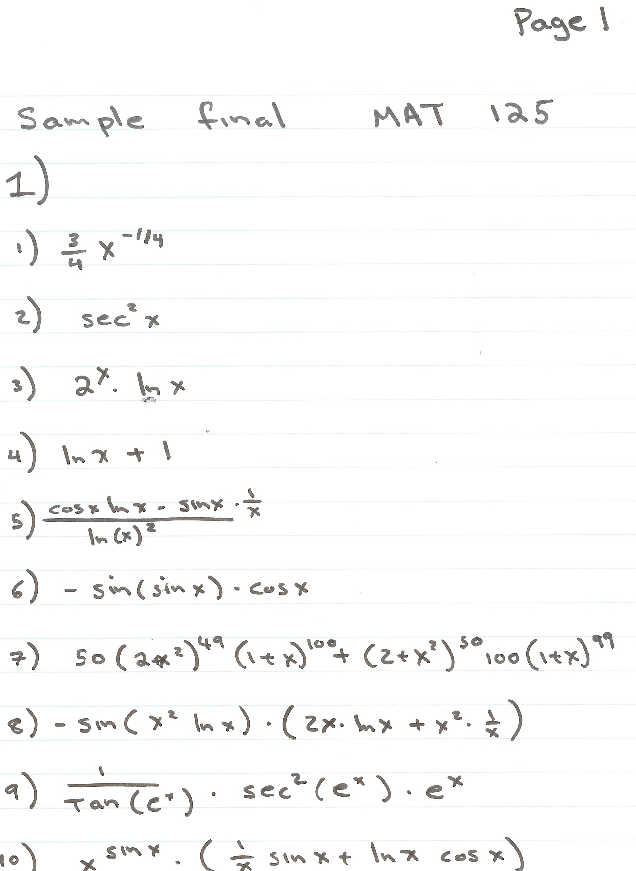
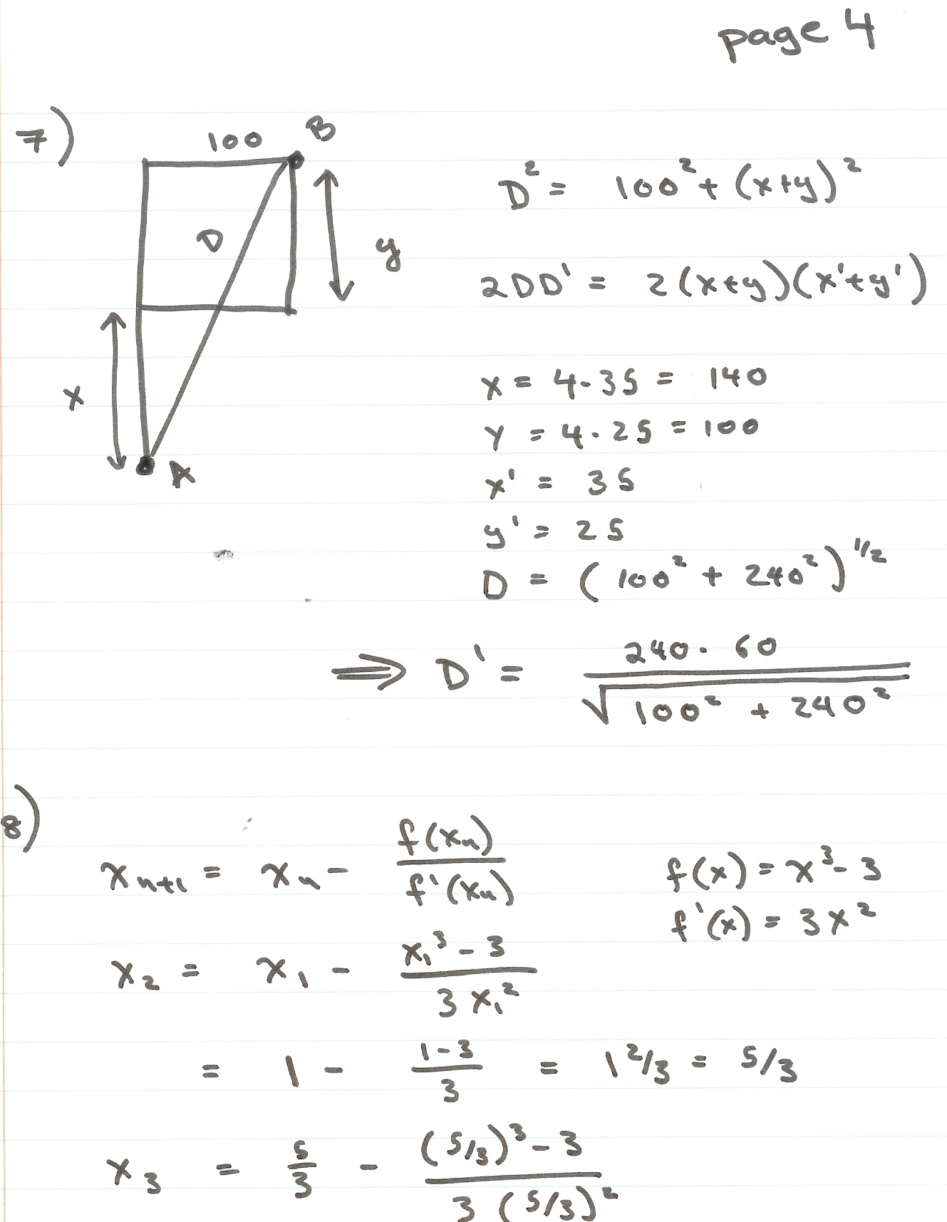
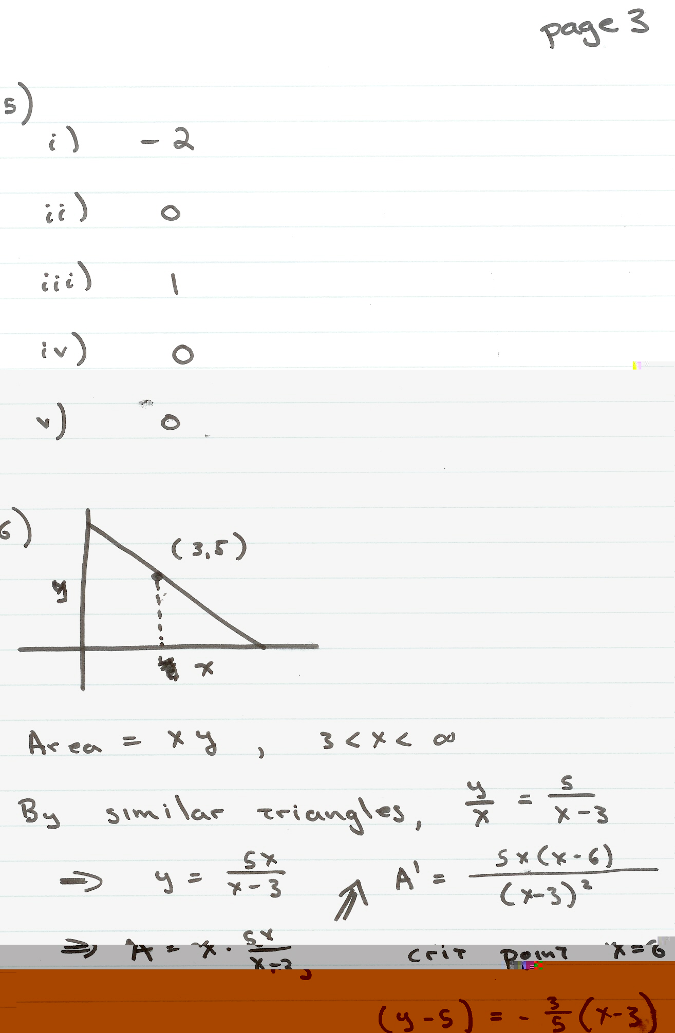
Here are jpeg files of solutions for the sample exam where I hand wrote in answers and scanned the pages. Solutions are not guarenteed correct. page 1 , page 2 , page 3 , page 4 ,

Link to first year math coures information

Link to other calculus webpages

Link to history of mathematics